
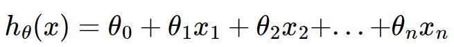
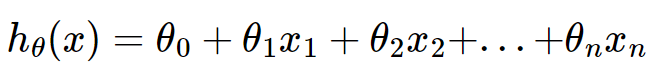
앞에서 하나의 변수를 이용한 univariate regression에 대하여 알아보았는데, 실제 상황에서는 하나의 변수만으로 예측하기 어려운 경우가 많다. 여기서는 여러 개의 변수를 이용한 multivariate linear regression을 알아보도록 하자. 다시 집값 추정 문제를 생각해보자면, 원래 집의 넓이만을 고려했지만 지금은 방의 개수, 층수, 연령 등을 고려해서 집값을 추정해보기로 했다.

multivariate를 수식으로 나타내면 여러 파라미터인 세타와 데이터인 x가 곱해져 더한 형태가 된다.

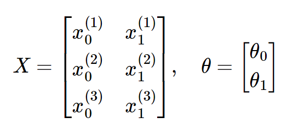
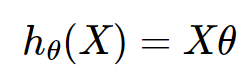
training example에 대한 hypothesis function의 벡터화이다. 각 training example을 row-vector로 하여 X라는 행렬에 다음와 같이 쌓는다. 그러면 hypothesis를 mx1 column vector로 계산할 수 있다.


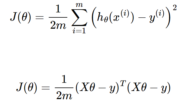
cost function을 벡터화해서 표현하면 아래와 같다. 이 때 y는 yi값을 포함하는 벡터이다.


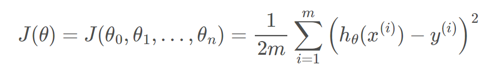
n개 feature에 대하여 반복한다는 점이 다를 뿐, 위와 같이 나타낸다.
728x90
반응형
'기계학습 > Machine Learning' 카테고리의 다른 글
| Machine Learning - SVM(Support Vector Machine) (0) | 2021.07.31 |
|---|---|
| Feature Scaling이란? (0) | 2021.07.23 |
| Linear Regression - Gradient Descent란? (0) | 2021.07.22 |
| Machine Learning- 회귀 (0) | 2021.07.22 |
| [파이썬 머신러닝 완벽 가이드] 회귀 실습(기본) - 자전거 대여 수요 예측 (0) | 2021.07.09 |

최근댓글